Whenever we measure a physical quantity, there are chances that the measured value will be different from the true value. The difference between the measured value and the true value of the physical quantity is called Error in Measurement.
Error = True Value – Measured Value
The errors in measurement are caused
due to various reasons and, on the basis of the cause, the errors are
classified as:
1. Systematic Error
2. Random Error
3. Least Count Error
1. Systematic errors
The errors which occur due to known causes are called systematic errors. Systematic errors always tend to be in one direction, i.e. either positive or negative. Since the systematic errors are due to known causes, they can be minimized by taking proper precautions.
Some of the sources of
systematic errors are:
(a) Instrumental errors
The errors which are
caused due to a fault in the measuring instrument are called instrumental
errors. The fault in the measuring instrument may be due to manufacturing
defect or due to imperfect design of the instrument or due to wear and tear in
the instrument.
Zero error and constant
error are the instrumental errors which are caused due to imperfect design of
the instrument. These errors can be reduced by using such instruments that have
no manufacturing defect or by applying necessary correction.
Backlash error is an instrumental
error which is caused due to wear and tear in the instrument. This error can be
reduced by using a new instrument that has no manufacturing defect.
Sometimes, it is observed
that, even if the measuring instruments are perfect, errors occur. Do you know
why ? It is due to change in temperature, pressure, humidity etc. These errors
can be reduced by applying necessary correction to the measured values.
(b) Imperfection in
experimental procedure
When you were in the
middle school, your physics teacher or even your geography teacher might have
taught you how to use a rain gauge to measure the quantity of rainfall, i.e. the
instrument is to be kept in the open space such that only the rain water should
fall directly into it and so on. Right ?
If we keep the rain gauge
under a tree during rain, then can we expect correct result ? The answer is NO
because we didn’t follow the correct procedure. Thus, imperfection in
experimental procedure is also a source of systematic error.
(c) Personal error
The errors which occur due to carelessness of the user of the instrument are called errors. Personal errors may also be caused due to the lack of knowledge of the user about how to use the instrument properly.
When errors occur due to carelessness of the user of the instrument, such errors are also called gross errors.
For example
– in an experiment, the actual reading is 21.53 m but the experimenter
records it as 21.35 m. This causes error in the measurement and it happens
because of the oversights.
2. Random errors
The errors which occur due
to unknown causes are called random errors. Random errors occur irregularly, i.e.
sometimes they may be positive and sometimes they may be negative. The
magnitudes of the error are also irregular, i.e. sometimes they are too small
and sometime they are too big.
Since the causes of the
random errors are not known, it is not possible to remove such errors
completely. The only way to minimize such errors is to repeat the experiment a
large number of times and take a large number of observations. The mean of all
the observations will be very close to the true value of the measured quantity.
3. Least count error
Suppose the true length of
a wire is 2.68 cm. If we measure the length of the wire with the help of a meter
rule, we are likely to record our reading as 2.6 cm or 2.7 cm because the least
count of the meter rule is 0.1 cm.
If we record the reading
as 2.6 cm, then the error will be 2.68 cm – 2.6 cm = 0.08 cm
If we record the reading
as 2.7 cm, then the error will be 2.68 cm – 2.7 cm = –0.02 cm
EXPRESSION OF ERRORS
Errors are expressed in the flowing ways:
1. Absolute error
If we know the true value
of a physical quantity, then there is no need to measure it. Right ?
However, if there is need
to know whether a given instrument is free from any manufacturing defect, then there
is a need to measure a physical quantity, even if its true value is known.
But, if the true value of
a physical quantity is not known, then how to determine it ? Because we assume
that there is always error in measurement.
If there is no way to know the true value of a physical quantity, then the arithmetic mean of all the observations is considered to be the true value.
What is absolute error,
then ?
The difference between a
measured value and the true value is called absolute error. Absolute error is
denoted by the symbol ![]()
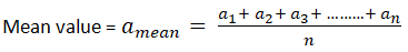
So, if a1, a2,
a3, a4, ………an are the values obtained in several
measurements, then the arithmetic mean of those values can be calculated as:
Thus, the errors in individual measurements are calculated as:
The errors obtained above may
be positive in certain cases and negative in the others. But the absolute error
will always be positive.
Mean Absolute Error
The arithmetic mean of all the absolute errors is
called Mean Absolute Error and it is denoted by the symbol ![]()
Thus, if we measure a
physical quantity only once, then the value that we get may be
more or less than the true
value.
Denoting the measured
value by the symbol a, we can write:
2. Relative or Fractional
Error
The ratio of the mean absolute error to the mean value of the physical quantity is called relative error or fractional error.
3. Percentage Error
When the relative error is
expressed in percent, then it is called percentage error and it is denoted
by the symbol
.



0 Comments